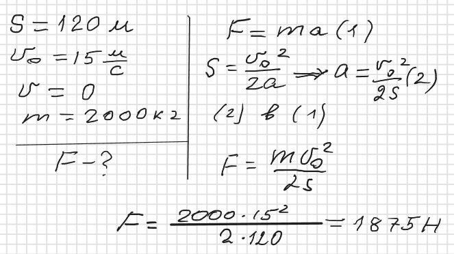
• Водій автобуса почав гальмувати на відстані 120 м. від зупинки на швидкості 15 м/с. Якою має бути гальмівна сила, щоб автобус масою 2000кг загальмував біля зупинки ?

Ответы 1

  • Ответ: 1875 Н

    Объяснение:

    answer img
  • Добавить свой ответ

Войти через Google

или

Забыли пароль?

У меня нет аккаунта, я хочу Зарегистрироваться

How much to ban the user?
1 hour 1 day 100 years