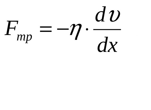
• Каким законам Ньютона противоречит формула (сила вязкого трения) и почему?

    question img

Ответы 1

  • Ответ: эта формула противоречит 3-ему закону Ньютона. Мы знаем, что сила трения и сила тяжести направлены в противоположные стороны, т.е. они комперсируют друг друга, но в этом случае сила вязкого трения и сила тяжести направлены одинаково.
  • Добавить свой ответ

Войти через Google

или

Забыли пароль?

У меня нет аккаунта, я хочу Зарегистрироваться

How much to ban the user?
1 hour 1 day 100 years