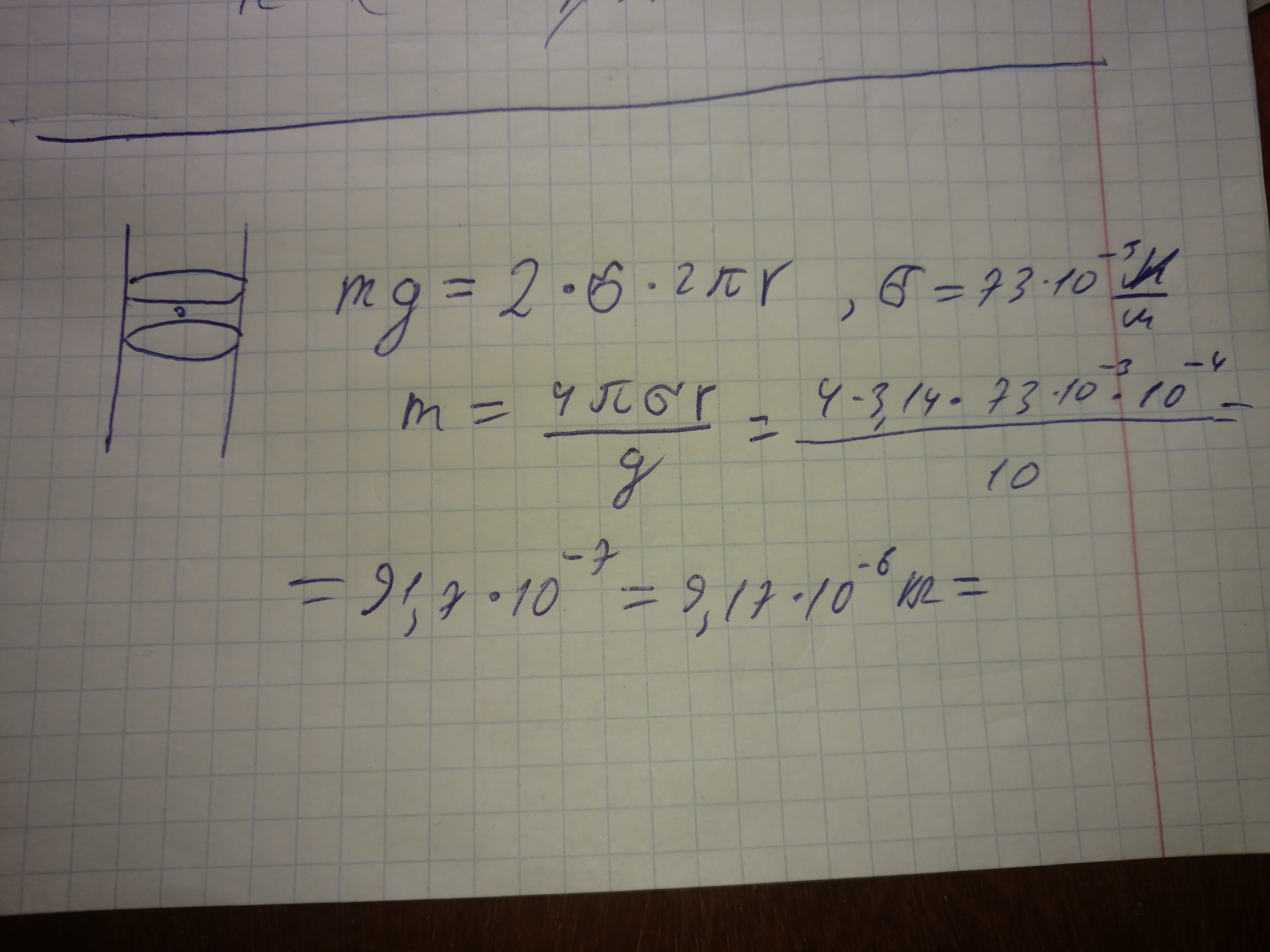
• Визначити масу води, яка піднялася в капілярній трубці радіусом 0,1 мм. Змочування повне

Ответы 1

  • 9.17*10^-6(кг) Рррррррррррррррррррррррри
    answer img
    • Автор:

      erinbcbr
    • 2 года назад
    • 6
  • Добавить свой ответ

Войти через Google

или

Забыли пароль?

У меня нет аккаунта, я хочу Зарегистрироваться

How much to ban the user?
1 hour 1 day 100 years