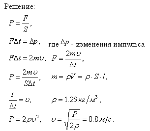
• 1.Определите скорость ветра, если он оказывает давление 200Па на стену. Ветер дует перпендикулярно стене. Плотность воздуха 1,29кг/м3.

Ответы 1

  • По картинке посмотри, поставь лучший ответ, если помог)
    answer img
    • Автор:

      naimabird
    • 2 года назад
    • 5
  • Добавить свой ответ

Еще вопросы

Войти через Google

или

Забыли пароль?

У меня нет аккаунта, я хочу Зарегистрироваться

How much to ban the user?
1 hour 1 day 100 years