• 20 баллов за ответ
    В первой части задачи следует заданную цепь свернуть ко входу (источнику), определив входное сопротивление или входную проводимость в соответствии с изложенными методическими указаниями.
    Затем, пользуясь законом Ома для участка цепи в виде:

    U= RI = I/G ; I= U/R =GU

    последовательно определить напряжения и токи на всех участках цепи, задав их направление в соответствии с направлением источника. Произвести проверку полученного решения, рассчитав баланс мощности.
    Варианты приведены в Приложении.
    На схемах указаны ЭДС e в вольтах, токи источников токов j в амперах и сопротивление элементов R в Омах. Номера элементам присваиваются произвольно, расчет производится в общем виде, затем подставляются исходные данные.

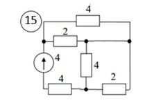
    question img

Ответы 5

  • А Вы можете на схема показать направление токов и напряжений? Рисунок?
    • Автор:

      june16
    • 6 лет назад
    • 0
  • Хм, словами: по стрелке ИП, от его +, вверху (R1,2) вправо;, R3 вниз; R5,4 влево, и на минус ИП
  • Совмести, хотя бы мысленно, две соседние точки (а лучше перерисовать), и все станет ясно видно
    • Автор:

      popcorn7
    • 6 лет назад
    • 0
  • Понял)
  • (Номера сверху вниз. Полагаю, что числа -все сопротивления и эдс).Rвх=Rобщ= R12+R35+R4= R1*R2/(R1+R2)+ R3*R5/(R3+R5)+ R4= 8/6+8/6+4= 40/6=6.67 Ом, Iобщ=I4=I35=I12=I= е/Roбщ= 4*6/40= 24/40= 0.6А, U4=I4*R4=2.4 B, U35=U3=U5= 0.6*8/6=0.8 B, I3=U3/R3=0.8/4=0.2A, I5=0.8/2=0.4A, аналогично U12=U1=U2= 0.8 B, I1=0.2А, I2=0.4A.Мощности: е*I=4*0.6== 0.8*0.2+ 0.8*0.4+ 0.8*0.2+ 0.8*0.4+ 0.6*2.4, 2.4==2.4 баланс (произведено -съедено)
  • Добавить свой ответ

Еще вопросы

Войти через Google

или

Забыли пароль?

У меня нет аккаунта, я хочу Зарегистрироваться

How much to ban the user?
1 hour 1 day 100 years