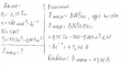
• В однородном магнитном поле с индукцией В=0,35
    Тл равномерно  с частотой n=480 мин-1 вращается
    рамка, содержащая N= 500 витков площадью S=50 см2. Ось вращения
    лежит в плоскости рамки и перпендикулярна линиям индукции. Определить
    максимальную э.д.с. индукции Emax, возникающею  в рамке.

Ответы 1

  • Ну как то так.....с:
    answer img
    • Автор:

      ninaco2i
    • 2 года назад
    • 6
  • Добавить свой ответ

Еще вопросы

Войти через Google

или

Забыли пароль?

У меня нет аккаунта, я хочу Зарегистрироваться

How much to ban the user?
1 hour 1 day 100 years