Предмет:
ФизикаАвтор:
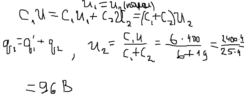
scoobierjcuАвтор:
esperanzaizi0
Автор:
nickolasДобавить свой ответ
1. Отметь знаком все слова, которые начинаются с гласного звука.
— птица
— игрушка
— окно
— юла
— земля
2. Отметь знаком слово, в котором все согласные звуки твёрдые.
— шина
— чаща
— приз
— лёд
3. Отметь знаком слово, в котором один слог.
— маяк
— шарф
— орех
— морковь
4. Отметь знаком слово, в котором первый слог ударный.
— капуста
— голубь
— пчела
— магазин
5. Отметь знаком слово, в котором звуков больше, чем букв.
— клад
— карась
— воробей
— заяц
6. Отметь знаком все слова, которые НЕЛЬЗЯ переносить с одной строки на другую.
— медведь
— радио
— ролики
— Юрий
— конь
7. Отметь знаком строку, в которой все слова записаны в алфавитном порядке.
— лев, белка, олень, кенгуру
— дятел, ласточка, соловей, цапля
— шмель, кузнечик, муравей, оса
— акула, камбала, треска, сельдь
8. Прочитай слова.
Ч…ща, реч…шка, пруж…на, обещ…ние, маш…на. Вставь пропущенные буквы во все эти слова.
9. Прочитай предложение.
В лесу между камней журчит звонкий ручей. Выпиши из этого предложения слово, которое называет действие и отвечает на вопрос «ЧТО ДЕЛАЕТ?».
10. Отметь знаком слово, противоположное по смыслу слову ХРАБРЫЙ (рыцарь).
— смелый
— отважный
— трусливый
— бесстрашный
Предмет:
Русский языкАвтор:
lolpwnzОтветов:
Смотреть
Предмет:
Русский языкАвтор:
callumg9fqОтветов:
Смотреть
1. а) 279(10;; б) 281(10; в) 841,375(10); г) 800,3125(10; д) 208,92(10)-
2. a) 1100111001(2); б) 100111012)
b) 1111011,001(2); г) 110000101,01(2) д) 1601,56,9); e) 16E,B4(16)-
3. a) 1000100001) + 10111001102); 6) 1101110011@2) + 111000101(
b) 1011011,012) + 1000101110,1001(2); г) 665,1(8) + 1217,2(8);
д) 30С,7(16) + 2А1,8(16-
4. a) 11110010(2) - 10101001(2); б) 1110100001() - 1011001001(2)
b) 1101001010,1(2 - 1011101001,11011(2); г) 166,14(8) - 143,2(8)
д) 287,A(16) - 62,8(16)-
5. a) 10010012, 100010с; б) 324,20 122,120); b) F,4(0) 38,6(16)
перевести надо так и не понял во что
Предмет:
ИнформатикаАвтор:
nurmanalan7Ответов:
Смотреть