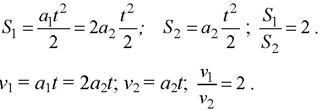
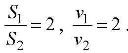
• От остановки одновременно отходят трамвай и троллейбус. Ускорение троллейбуса в два раза больше, чем трамвая. Сравнить пути, пройдённые троллейбусом и трамваем за одно и то же время, и приобретённые ими скорости.

Ответы 1

  • Вот вам решение во вложенном...
    answer img
    answer img
  • Добавить свой ответ

Войти через Google

или

Забыли пароль?

У меня нет аккаунта, я хочу Зарегистрироваться

How much to ban the user?
1 hour 1 day 100 years