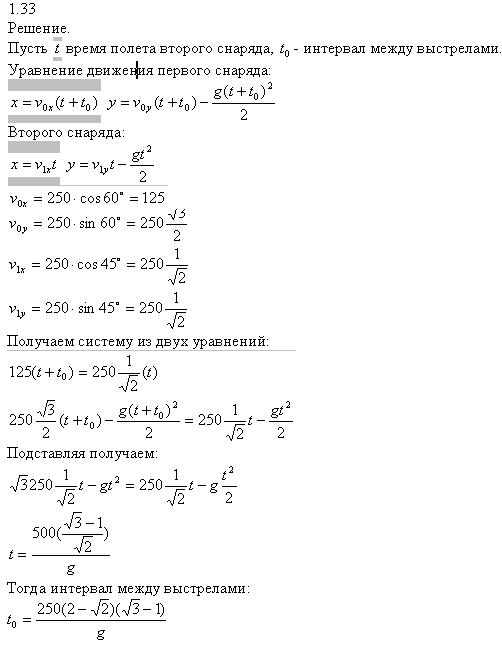
• Из пушки выпустили последовательно 2 снаряда с одинаковой скоростью 250 м/с .Первый снаряд под углом 60 градусов к горизонту а второй под углом 45 градусов.найдите интервал времени между выстрелами при котором снаряды столкнутся друг с другом.

Ответы 1

  • вот всё подробно написано.
    answer img
  • Добавить свой ответ

Войти через Google

или

Забыли пароль?

У меня нет аккаунта, я хочу Зарегистрироваться

How much to ban the user?
1 hour 1 day 100 years