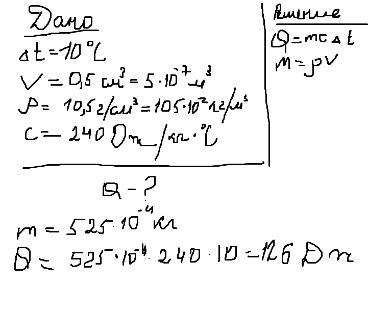
• какое кол-во теплоты Q потребуется для нагревания на t=10C серебрянной монеты объёмом v=0.5см3? плотность серебра p=10.5г/см3

Ответы 1

  • во вложении.........................
    answer img
  • Добавить свой ответ

Войти через Google

или

Забыли пароль?

У меня нет аккаунта, я хочу Зарегистрироваться

How much to ban the user?
1 hour 1 day 100 years