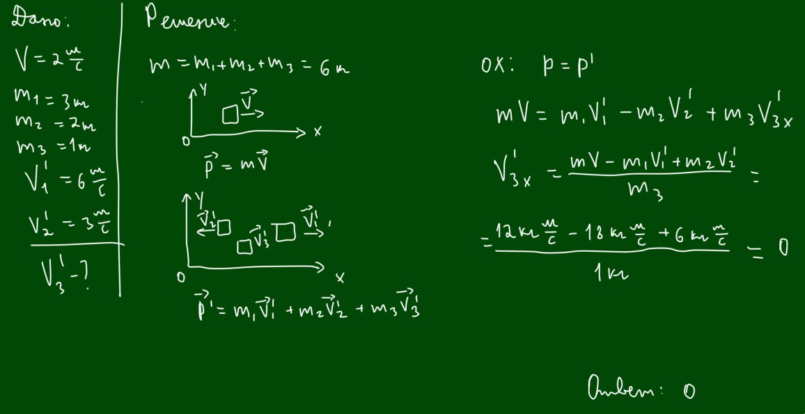
• Помогите пожалуйста. Тело, летевшее со скоростью 2 м/с относительно земли, мгновенно разделяется на три части массами m 1 = 3 кг, m 2 = 2 кг и m 3 = 1 кг. Первое тело продолжает движение со скоростью 6 м/с в прежнем направлении, а второе движется в противоположном направлении со скоростью 3 м/с. Определите скорость третьего тела.

Ответы 1

  • Решение на картинке.
    answer img
    • Автор:

      heidisupt
    • 2 года назад
    • 0
  • Добавить свой ответ

Еще вопросы

Войти через Google

или

Забыли пароль?

У меня нет аккаунта, я хочу Зарегистрироваться

How much to ban the user?
1 hour 1 day 100 years