• Во сколько раз различаются среднеквадратичные скорости молекул двух различных идеальных газов, если масса их молекул различается в 4 раза, а температура газов одинакова?

Ответы 1

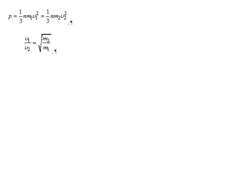
  •  Согласно закону Авогадро число молекул в единице объема одинаково. В таком случае мы можем написать ,  ,=2
    answer img
    • Автор:

      luciiqej
    • 2 года назад
    • 7
  • Добавить свой ответ

Еще вопросы

Войти через Google

или

Забыли пароль?

У меня нет аккаунта, я хочу Зарегистрироваться

How much to ban the user?
1 hour 1 day 100 years