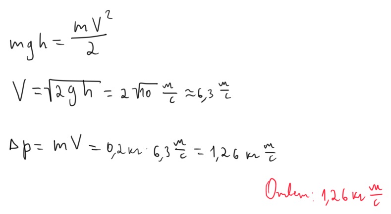
• тело массой 0.2 кг соскальзывает без трения с горки высотой 2м найти изменение импульса тела

Ответы 1

  • Решение на картинке.
    answer img
  • Добавить свой ответ

Войти через Google

или

Забыли пароль?

У меня нет аккаунта, я хочу Зарегистрироваться

How much to ban the user?
1 hour 1 day 100 years