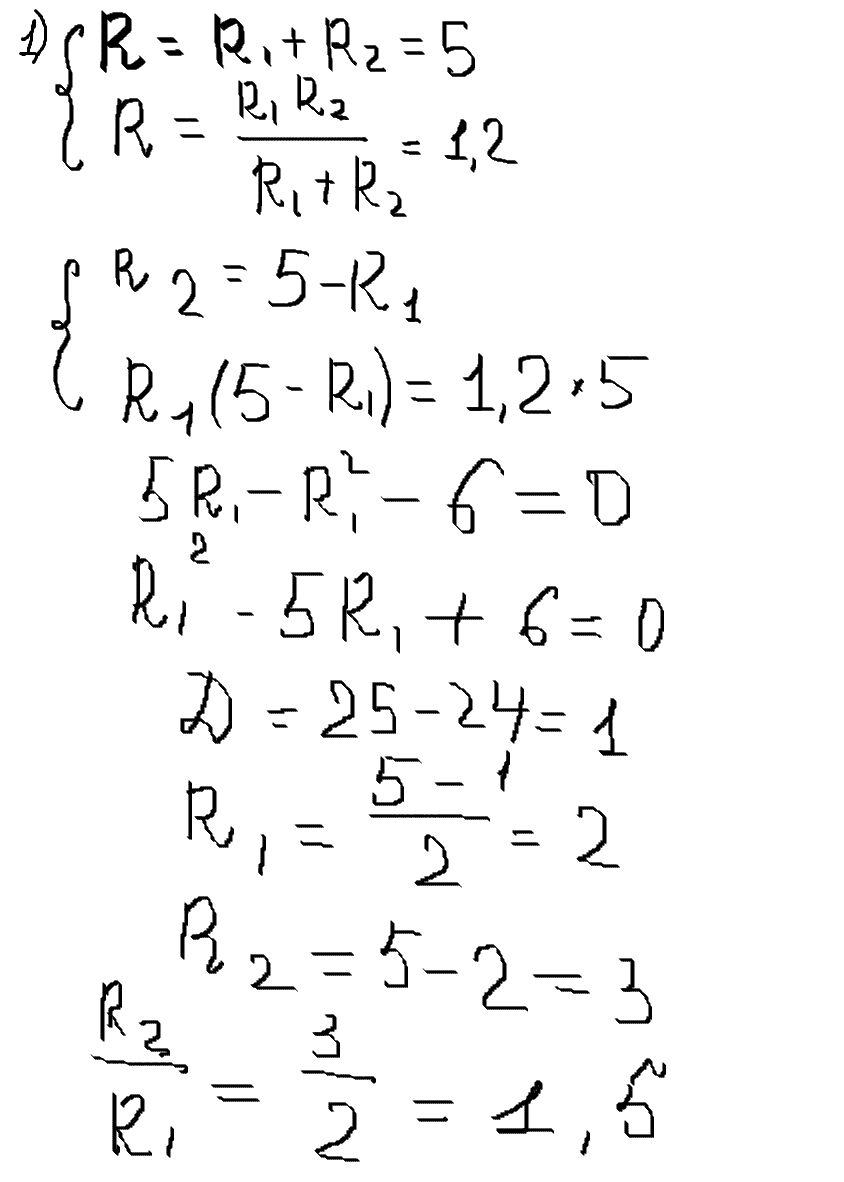
• 1. Общее сопротивление двух последовательно соединенных проводников 5 Ом, а параллельно соединенных 1,2 Ом. Найти отношение большего сопротивления к меньшему.
    2. При подключении внешней цепи к источнику тока с ЭДС 30 В напряжение на зажимах источника оказывается равным 27 В. Внешнее сопротивление цепи 9 Ом.
    3. Источник тока замыкается сначала сопротивлением 2 Ом, а затем сопротивлением 8 Ом. В обоих случаях 

    на внешнем сопротивлении выделяется одинаковая мощность. Найти внутреннее сопротивление.
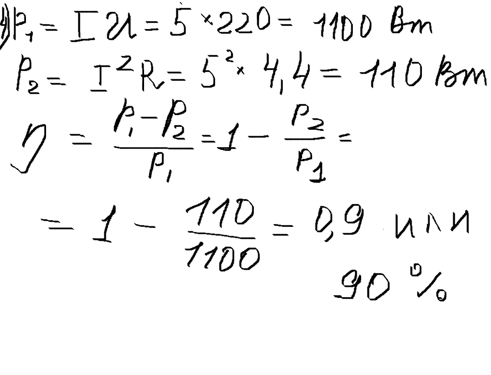
    4. При включении электромотора в сеть с напряжением 220В он потребляет ток 5 А. определить КПД электромотора, если сопротивление его обмотки равно 4,4 Ом.
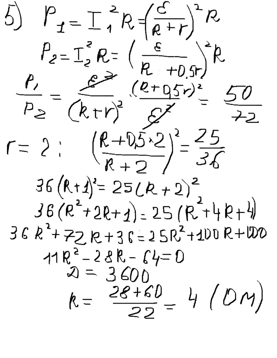
    5. При подключении к аккумулятору с внутренним сопротивлением 2 Ом нагревательный элемент развивает мощность 50 Вт. При подключении нагревательного элемента к двум таким аккумуляторам, соединенным последовательно, выделяемая в нагревателе мощность составила 72 Вт. Найти сопротивление нагревателя.

Ответы 1

  • Во втором задании условие проверьте, там что наддо найти? остальные во вложениях
    answer img
    answer img
    answer img
    answer img
  • Добавить свой ответ

Еще вопросы

Войти через Google

или

Забыли пароль?

У меня нет аккаунта, я хочу Зарегистрироваться

How much to ban the user?
1 hour 1 day 100 years