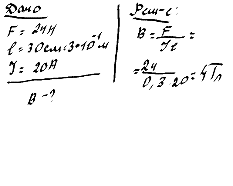
• Магнитное поле действует с силой 24 Н на проводник длиной 30 см, расположенный перпендикулярно линиям магнитной индукции. Определите магнитную индукцию, если сила тока в проводнике 20 А.

     

Ответы 1

  • Во вложении.....................
    answer img
  • Добавить свой ответ

Еще вопросы

Войти через Google

или

Забыли пароль?

У меня нет аккаунта, я хочу Зарегистрироваться

How much to ban the user?
1 hour 1 day 100 years