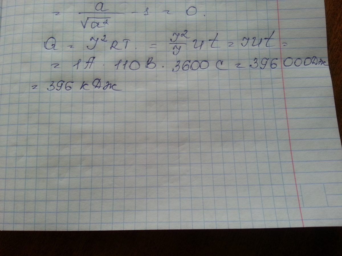
• Какое количество теплоты выделится в нити электрической лампы в течении 1ч, если лампа потребляет ток силой 1А при напряжении 110В

Ответы 1

  • ответ: 396 килоджоулей
    answer img
    • Автор:

      ladykirk
    • 2 года назад
    • 5
  • Добавить свой ответ

Войти через Google

или

Забыли пароль?

У меня нет аккаунта, я хочу Зарегистрироваться

How much to ban the user?
1 hour 1 day 100 years