• Помогите,пожалуйста, подробно решить эти задачи по физике ....на теме не было,а сама понять не могу...ПОЖАЛУЙСТА ПОМОГИТЕ РЕШИТЬ ИХ!!!

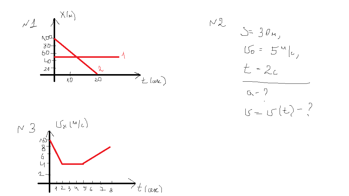
    1. По графику движения двух тел, представленных на рисунке (1) описать движение и написать уравнение х=х(t) этих тел. Определить место и время их встречи графически и аналитически.

    2. Тело, имевшее начальную скорость двигается с ускорением и за время проходит путь . Расчитать величину величину и написать зависимость скорости от времени v=v(t) (рисунок 2)

    3. По данным графика  скорости написать уравнение скорости v=v(t) и уравнение координаты x=x(t)для каждого этапа движения, если начальная скорость равна 20. (рисунок 3) 

    question img

Ответы 1

  • Решение во вложении.

    answer img
  • Добавить свой ответ

Войти через Google

или

Забыли пароль?

У меня нет аккаунта, я хочу Зарегистрироваться

How much to ban the user?
1 hour 1 day 100 years