• СРОЧНО!!ПОЖАЛУЙСТА,ПОМОГИТЕ!
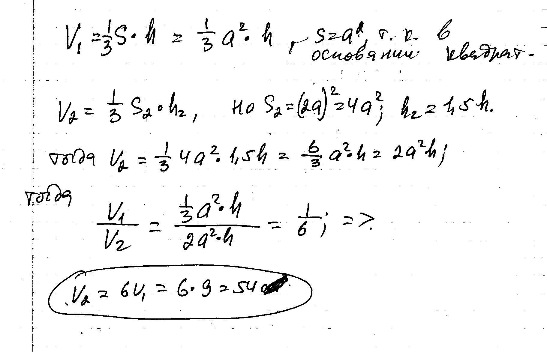
    даны две правильные четырехугольные пирамиды. объем первой пирамиды равен 9. у второй пирамиды высота в 1,5 раза больше , а сторона основания в 2 раза больше,чем у первой. найдите обьем второй пирамиды.

Ответы 1

  • решение в скане..................
    answer img
  • Добавить свой ответ

Войти через Google

или

Забыли пароль?

У меня нет аккаунта, я хочу Зарегистрироваться

How much to ban the user?
1 hour 1 day 100 years