• МНОГО БАЛЛОВ ЗА ОДНО ЗАДАНИЕ ПО ГЕОМЕТРИИ!!!
    В правильной треугольной призме угол между диагоналями двух смежных граней, выходящих из одной вершины, равен Ф. Найдите высоту призмы, если сторона ее основания равна а.

    question img

Ответы 1

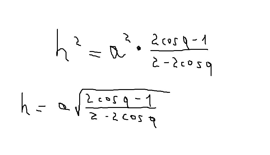
  • Обозначим диагонали dПо т. косинусов: a^2=d^2+d^2-2*d*d*cos q=2d^2-2d^2*cos q=2d^2(1-cos q)Отсюда: d^2=a^2/(2-2*cos q)Выражаем h по т. Пифагора: h^2=d^2-a^2Подставляем значение d^2:h^2=a^2/(2-2*cos q)-a^2=(a^2-a^2(2-2*cos q))/(2-2*cos q)=a^2(1-2+2*cos q)/(2-2*cos q)=a^2 * (2*cos q-1)/(2-2*cos q)Далее на картинке будет нагляднейОтвет: 2-ой.
    answer img
  • Добавить свой ответ

Войти через Google

или

Забыли пароль?

У меня нет аккаунта, я хочу Зарегистрироваться

How much to ban the user?
1 hour 1 day 100 years