• Пожалуйста, помогите!
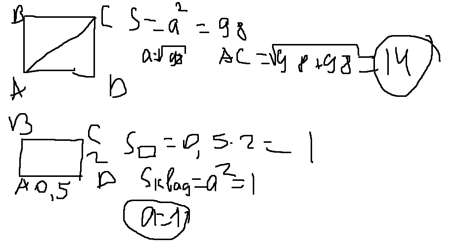
    1)Найдите диагональ квадрата. если его площадь равна 98.
    2)Найдите сторону квадрата, площадь которого равна площади прямоугольника со сторонами 0,5 и 2.

Ответы 1

  • ...........................................
    answer img
  • Добавить свой ответ

Войти через Google

или

Забыли пароль?

У меня нет аккаунта, я хочу Зарегистрироваться

How much to ban the user?
1 hour 1 day 100 years