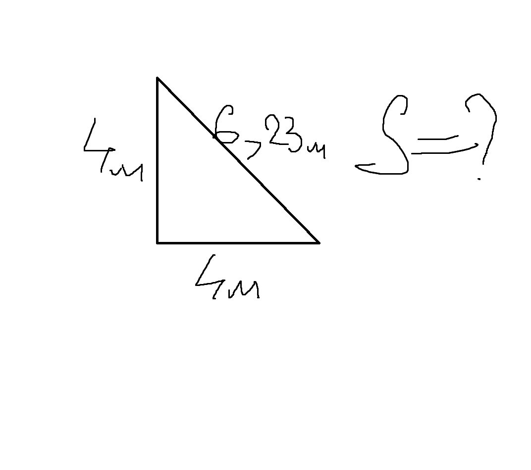
• Найдите площадь прямоугольного треугольника
    катеты = 4 м
    гипотенуза = 6,23 м

    question img

Ответы 1

  • S=1/2*a*ba  и b-катеты1/2*4*4=8(м²)Ответ:8
    • Автор:

      kamari
    • 6 лет назад
    • 0
  • Добавить свой ответ

Войти через Google

или

Забыли пароль?

У меня нет аккаунта, я хочу Зарегистрироваться

How much to ban the user?
1 hour 1 day 100 years