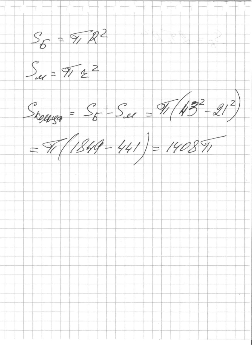
• Даны две концентрические окружности радиус большей окружности равен 43, а радиус меньшей окружности равен 21. Найдите площадь кольца, ограниченного этими
    окружностями. В ответ запишите S/пи

Ответы 1

  • Sб- площадь большого круга, Sм - маленького
    answer img
  • Добавить свой ответ

Войти через Google

или

Забыли пароль?

У меня нет аккаунта, я хочу Зарегистрироваться

How much to ban the user?
1 hour 1 day 100 years