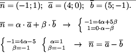
• Разложите вектор n[-1;1] на два вектора, коллинеарные векторам а[4;0], b[5;-1]

Ответы 1

  • ........................................................................
    answer img
  • Добавить свой ответ

Войти через Google

или

Забыли пароль?

У меня нет аккаунта, я хочу Зарегистрироваться

How much to ban the user?
1 hour 1 day 100 years