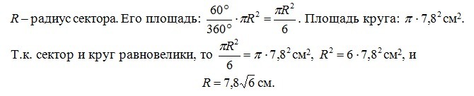
• Сектор, дуга которого содержит 60 градусов, равновелик кругу радиуса 7,8 см. Найдите радиус сектора.

Ответы 1

  • Решение в приложении.
    answer img
  • Добавить свой ответ

Войти через Google

или

Забыли пароль?

У меня нет аккаунта, я хочу Зарегистрироваться

How much to ban the user?
1 hour 1 day 100 years