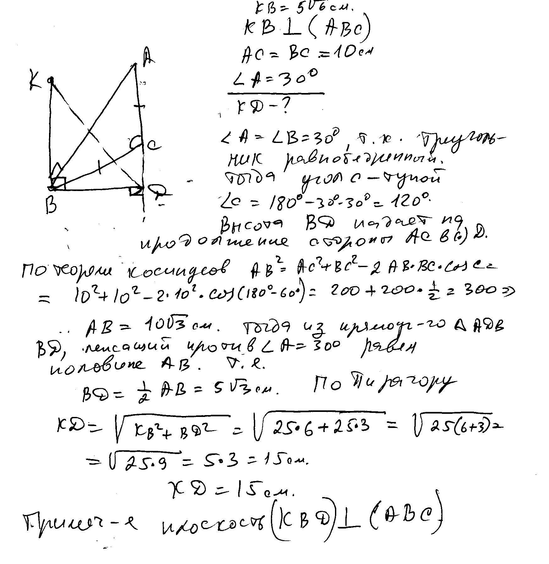
• в треугольнике abc ac cb 10 угол a 30 bk перпендикуляр к плоскости треугольника и равен 5 корень квадратный из 6 см. найдите расстояние от точки K до AC

Ответы 1

  • в треугольнике abc ac cb 10 угол a 30 bk перпендикуляр к плоскости треугольника и равен 5 корень квадратный из 6 см. найдите расстояние от точки K до AC
    answer img
  • Добавить свой ответ

Войти через Google

или

Забыли пароль?

У меня нет аккаунта, я хочу Зарегистрироваться

How much to ban the user?
1 hour 1 day 100 years