• В прямоугольном треугольнике катет равен 8 сантиметров, а тангенс прилежащего угла равен 1/2, найти второй катет и гипотенузу треугольника. 25б))

Ответы 1

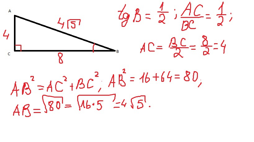
  • Тангенс угла - это отношение синуса угла к косинусу угла, или противолежащего катета к прилежащему. tgB = AC/BC. АС = 4. За теоремой Пифагора найдем гипотенузу: ВС^2 = AC^2 + BC^2. ВС = 4 корня из 5.
    answer img
  • Добавить свой ответ

Войти через Google

или

Забыли пароль?

У меня нет аккаунта, я хочу Зарегистрироваться

How much to ban the user?
1 hour 1 day 100 years