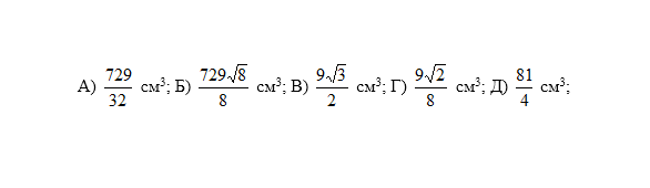
• Диагональ прямоугольного параллелепипеда равна 9 см и образует с двумя смежными боковыми гранями углы по 30 градусов. Найдите объем параллелепипеда.
    Варианты ответов:

    question img

Ответы 1

  • Правильного ответа среди A), Б). В), Г) и Д) нет! Предполагаю, что опечатка в ответе Б). См. решение во вложенном файле.
    answer img
    • Автор:

      richard
    • 6 лет назад
    • 0
  • Добавить свой ответ

Войти через Google

или

Забыли пароль?

У меня нет аккаунта, я хочу Зарегистрироваться

How much to ban the user?
1 hour 1 day 100 years