• Подробно прошу
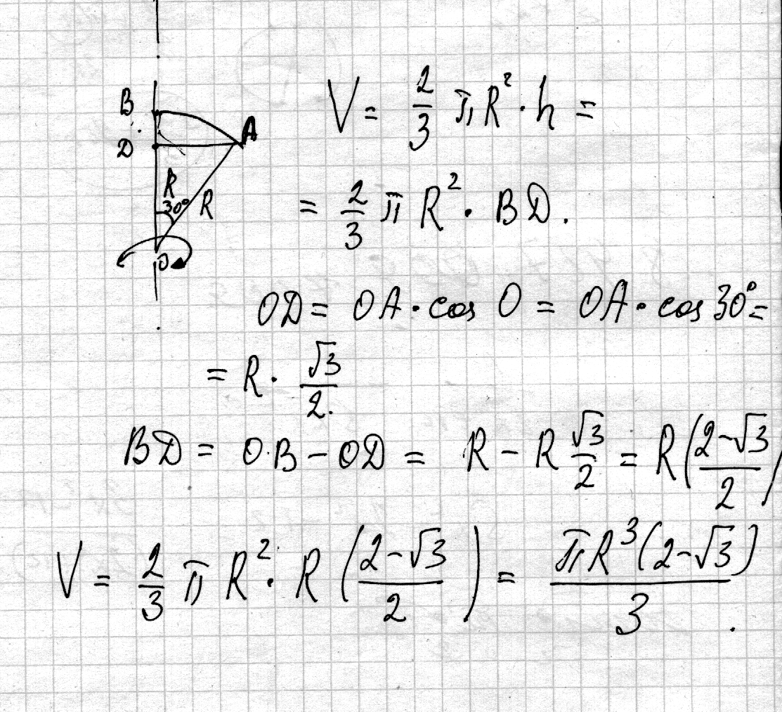
    Круговой сектор с углом в 30 градусов и радиусом R вращается вокруг одного из ограничивающих его радиусов.
    Найдите объем получившегося шарового сектора

Ответы 1

  • Есть формула для вычисления объема шарового сектора, он зависит от радиуса шаровой поверхности и высоты соответствующего шарового сегмента.  Радиус известен, а высоту найдем, используя прямоугольный треугольник.
    answer img
  • Добавить свой ответ

Войти через Google

или

Забыли пароль?

У меня нет аккаунта, я хочу Зарегистрироваться

How much to ban the user?
1 hour 1 day 100 years