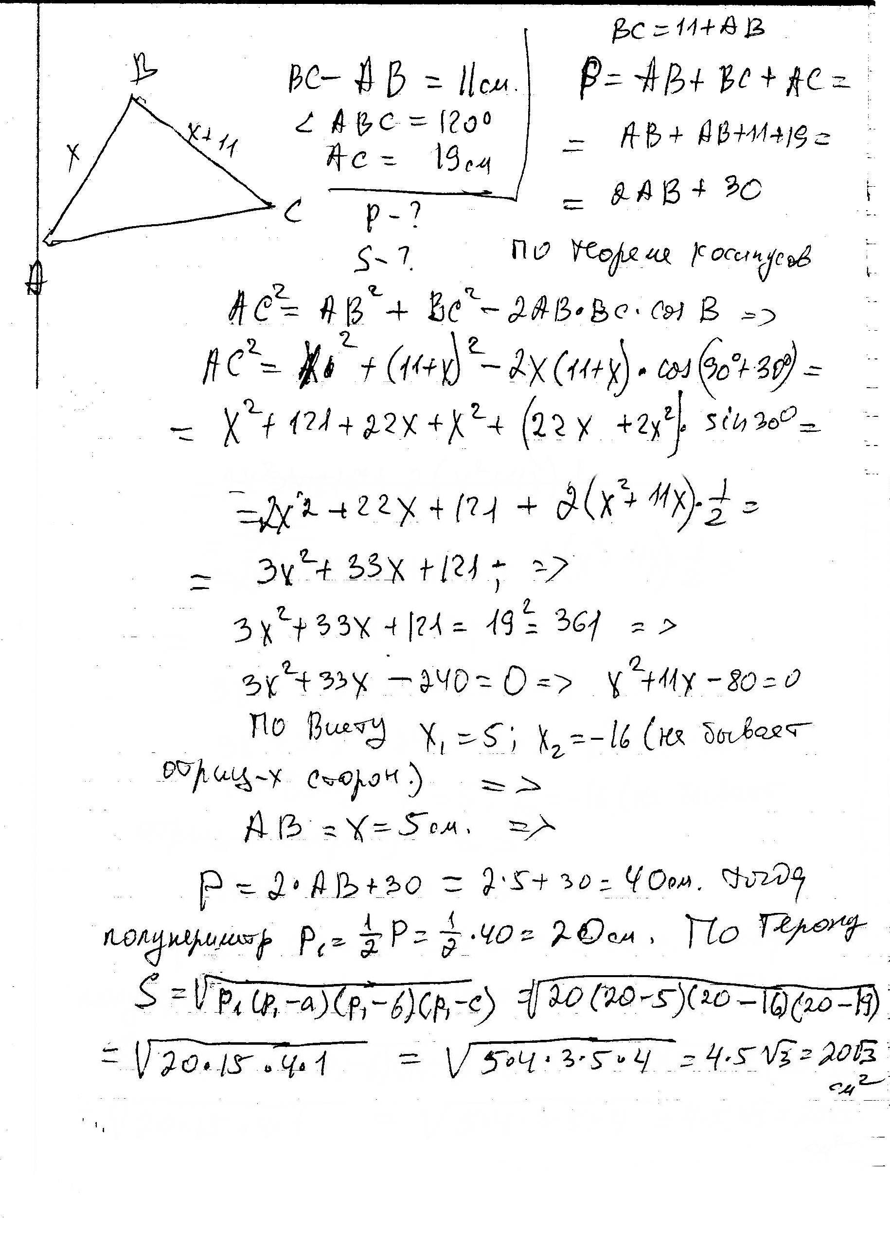
одна из сторон треугольника на 11 см больше другой, угол между ними 120 град а третья сторона равна 19 см.
найдите периметр и площадь треугольника
Предмет:
ГеометрияАвтор:
kayliezbvn
Автор:
khalilwztsДобавить свой ответ
3 в 4 степени умножить на 7 в 5 и делить на 21 в 4 решение пожалуйста
Предмет:
АлгебраАвтор:
shaynalecnОтветов:
Смотреть
У меня на пробном была задача по геометрии: радиус круга 3см, а радиус кольца 5 см, найти площадь кольца, я решила по формуле S=ПRв квадрате и получила 25, а как решили бы вы? хочу удостовериться
ПЛИЗ ОЧЕНЬ СРОЧНО НАДО!!!!! НА КАКИЕ РАСТЕНИЯ ПРИЛЕТАЮТ ОПЫЛИТЕЛИ?
ДОЛГО ЛИ ОНИ ЗАДЕРЖИВАЮТСЯ НА ЦВЕТАХ?
СКОЛЬКО ЦВЕТОВ ОБЛЕТАЕТ 1 ОПЫЛИТИЛЬНИЦА ЗА 1 МИНУТУ?
Предмет:
ОбществознаниеАвтор:
snow whitecn15Ответов:
Смотреть
Предмет:
ИсторияАвтор:
luisguerreroОтветов:
Смотреть