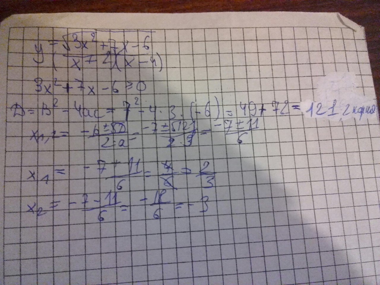
• Помогите дорешать,пожалуйста!Нужно найти область определения функции

    question img

Ответы 1

  • Для нахождения области определения заданной функции надо решить систему неравенств {3х²+7x-6≥0; (x+2)(x-4)≠0(-~;-3]∪[2/3;+~) решения первого неравенствах≠-2, х≠4 решения второго неравенстваИх общее решение является областью определения данной функции(-~;-3]∪[2/3;4)∪(4;+~)
    • Автор:

      jaycee
    • 6 лет назад
    • 0
  • Добавить свой ответ

Войти через Google

или

Забыли пароль?

У меня нет аккаунта, я хочу Зарегистрироваться

How much to ban the user?
1 hour 1 day 100 years