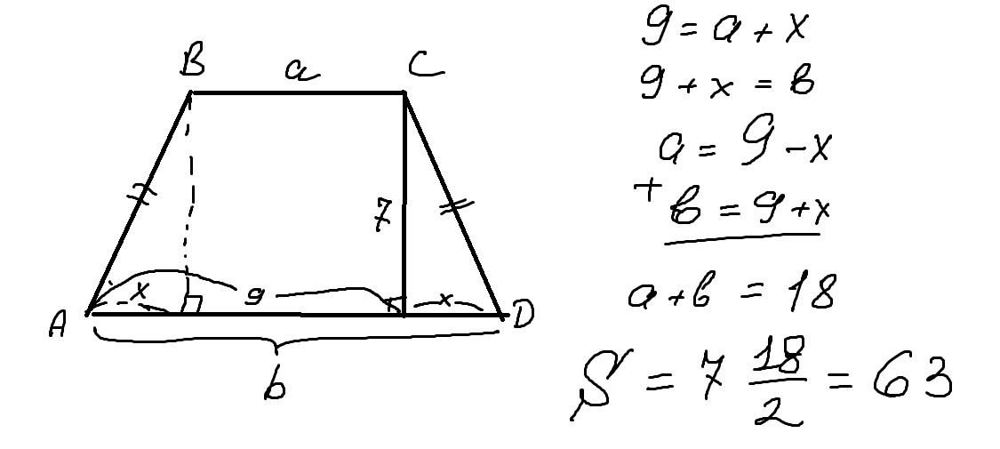
• Найдите площадь равнобедренной трапеции ABCD у которой высота BH равна 7 см,а точка H делит основание AD на два отрезка так,что наибольший из них равен 9 см.

Ответы 1

  • В обозначениях на рисунке понятна идея.Надо найти сумму оснований, а не каждое из них
    answer img
  • Добавить свой ответ

Войти через Google

или

Забыли пароль?

У меня нет аккаунта, я хочу Зарегистрироваться

How much to ban the user?
1 hour 1 day 100 years