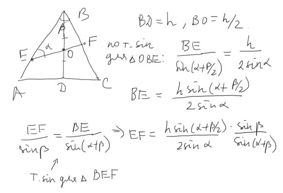
• В треугольнике abc ab=bc bd высота, через середину высоты проведена прямая пересекающая стороны ab и bc в точках e и f ... найдите ef если bd=h ∠abc=β ∠bef=α

Ответы 1

  • Решение прицеплено в картинке
    answer img
    • Автор:

      jared6rg0
    • 2 года назад
    • 2
  • Добавить свой ответ

Войти через Google

или

Забыли пароль?

У меня нет аккаунта, я хочу Зарегистрироваться

How much to ban the user?
1 hour 1 day 100 years