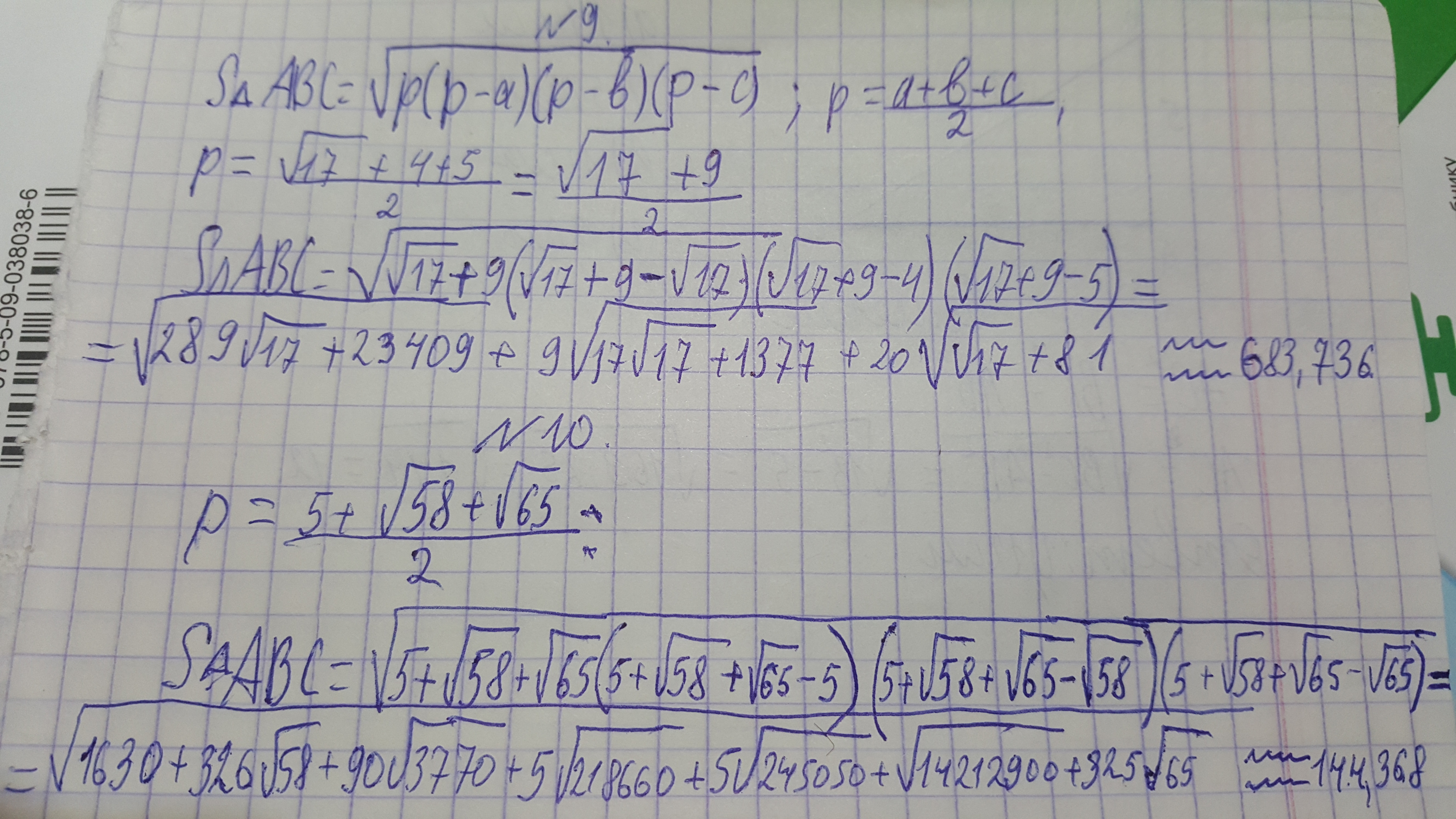
• Решите пожалуйста обе задачи, в обеих нужно найти площадь

    question img

Ответы 1

  • ......................
    answer img
  • Добавить свой ответ

Войти через Google

или

Забыли пароль?

У меня нет аккаунта, я хочу Зарегистрироваться

How much to ban the user?
1 hour 1 day 100 years