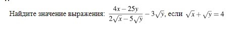
• Найдите значение выражения: 4x-25y\2√x-5√y - 3√y, если√x+√y=4
    плиииз помогите

    question img

Ответы 1

  • Если числитель дроби рассмотреть, как разность квадратов, то можно дробь сократить и получится:

    (2*sqrt(x)+5*sqrt(y))-3*sqrt(y)=

    2*(sqrt(x)+sqrt(y))=2*4=8

    В самом деле : 4x-25у=(2sqrt(x)-5*sqrt(y))*(2sqrt(x)+5*sqrt(y)), поэтому

    первая дробь преобразуется в (2sqrt(x)+5*sqrt(y)), вычитая 3sqrt(y) , получаем 2*(sqrt(x)+sqrt(y)), а выражение в скобкках по условию равно 4.

  • Добавить свой ответ

Еще вопросы

Войти через Google

или

Забыли пароль?

У меня нет аккаунта, я хочу Зарегистрироваться

How much to ban the user?
1 hour 1 day 100 years