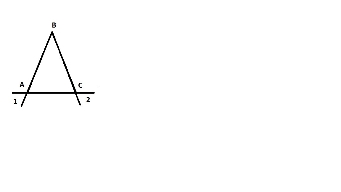
• <1=<2 доказать что треугольник abc равнобедренный

    question img

Ответы 2

  • спасибо
    • Автор:

      big bird
    • 6 лет назад
    • 0
  • <1=<BAC (вертикальные)<2=<ВСА (вертикальные)<1=<2(по условию), следовательно, <ВАС=<ВСАВ треугольнике АВС два угла равны, следовательно, он равнобедренный (по свойству равнобедренного треугольника).
    • Автор:

      moses
    • 6 лет назад
    • 0
  • Добавить свой ответ

Еще вопросы

Войти через Google

или

Забыли пароль?

У меня нет аккаунта, я хочу Зарегистрироваться

How much to ban the user?
1 hour 1 day 100 years