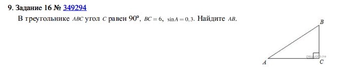
• В тре­уголь­ни­ке ABC угол C равен 90°, BC = 6, sin A = 0,3. Най­ди­те AB.

    question img

Ответы 1

  • синус это отношение противолежащего катета к гипотенузе значит BC/AB=0,3      3*AB=10*BC    AB= (6*10)/3   AB=20
    • Автор:

      gregorio
    • 6 лет назад
    • 0
  • Добавить свой ответ

Еще вопросы

Войти через Google

или

Забыли пароль?

У меня нет аккаунта, я хочу Зарегистрироваться

How much to ban the user?
1 hour 1 day 100 years