• Решение пожалуйста....................................

    question img

Ответы 2

  • Геометрически - это пересечение трех цилиндров в пространстве
    • Автор:

      mathews
    • 6 лет назад
    • 0
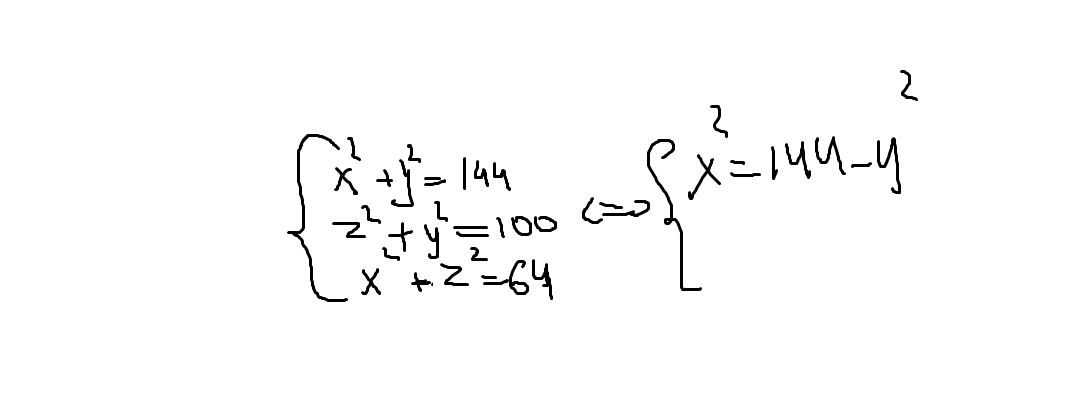
  • x^2=144-y^2, z^2=100-y^2; 144-y^2+100-y^2=64, y^2=90x^2=54, z^2=10.x=+-√54=+-3√6; y=+-√90=+-3√10; z=+-√10
    • Автор:

      jameson
    • 6 лет назад
    • 0
  • Добавить свой ответ

Войти через Google

или

Забыли пароль?

У меня нет аккаунта, я хочу Зарегистрироваться

How much to ban the user?
1 hour 1 day 100 years