• Дан ромб MNPQ. Отрезок MF-биссектриса треугольника MPQ, треугольник NMQ=4a, FQ=a. Найдите площадь данного ромба.

Ответы 1

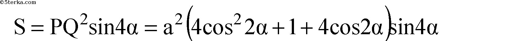
  • Всё решение на изображениях:Примечание: FP находилось из треугольника MPF.
    answer img
    answer img
    answer img
    answer img
    answer img
  • Добавить свой ответ

Войти через Google

или

Забыли пароль?

У меня нет аккаунта, я хочу Зарегистрироваться

How much to ban the user?
1 hour 1 day 100 years