• Диагональ правильной четырёхугольной призмы равна 8 корней из 2 и наклонена к основанию под углом 60 градусов. Найдите площадь основания

Ответы 1

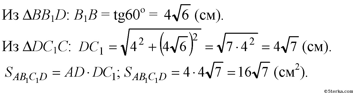
  • Решение:

    AB1C1D - прямоугольник (АВ ⊥ AD, В1В ⊥ AD, по теореме о 3-х перпендикулярах АВ1 ⊥ AD, В1С1 || AD, значит, АВ1 ⊥ В1С1).

    Пусть диагональ призмы B1D = d.

    Рисунок 2: Из квадрата ABCD:

    Ответ: 16√7 см2.

    answer img
    answer img
    answer img
    answer img
  • Добавить свой ответ

Войти через Google

или

Забыли пароль?

У меня нет аккаунта, я хочу Зарегистрироваться

How much to ban the user?
1 hour 1 day 100 years