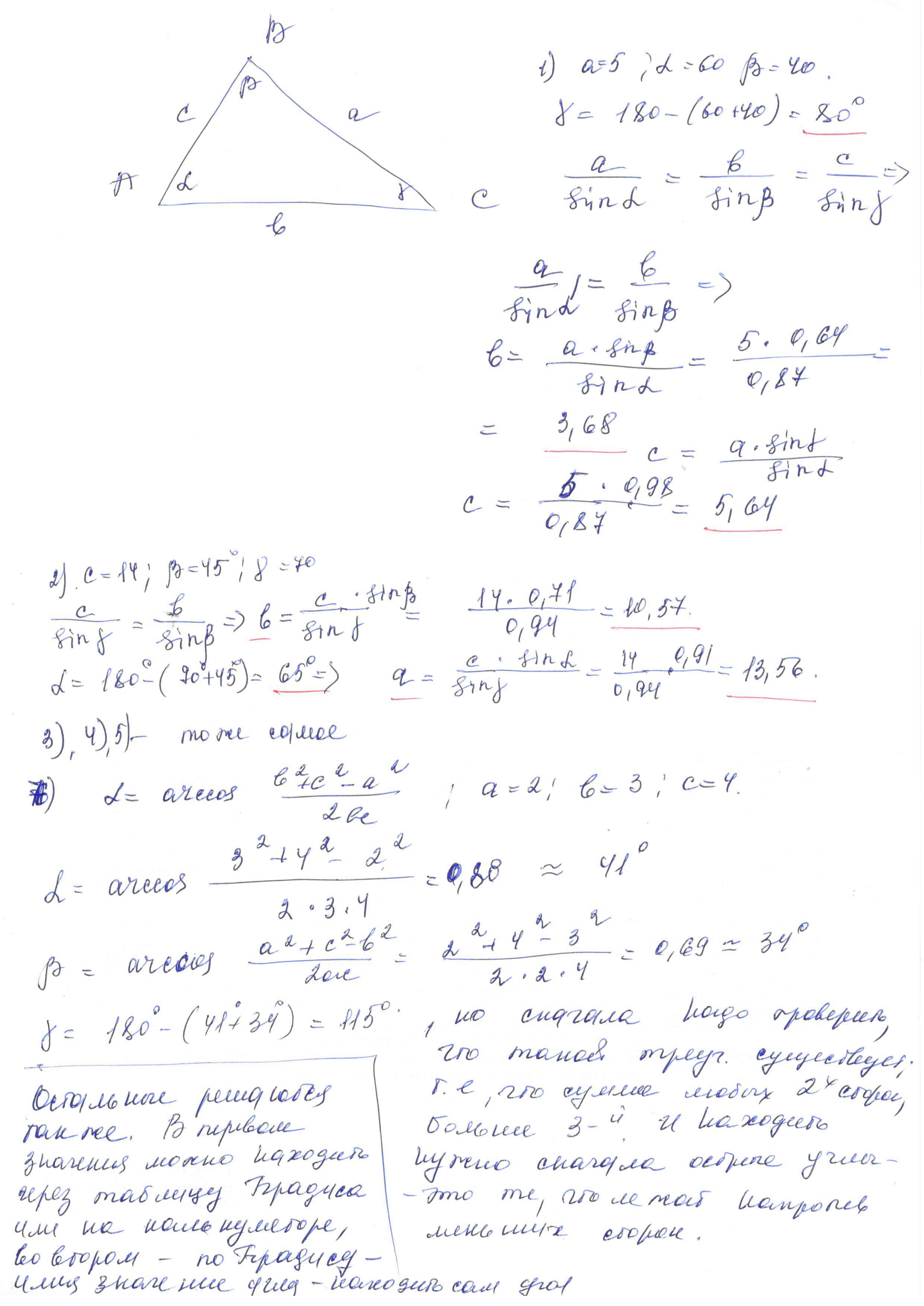
• В треугольнике АВС: уголА=α, уголВ=β, уголС=γ, ВС=a, AC=b, AB=c. Используя информацию данную ниже найдите неизвестные части треугольника:
    1) a=5, α=60°, β=40°
    3)c=14, β=45°, γ=70°
    5) b=9, c=17, α=80°
    7) a=2, b=3, c=4
    2) b=4.56, α=30°, γ=75°
    4)a=12, b=8, γ=60°
    6) a=7, c=10, β=120°
    8) a=4, b=10, c=7

Ответы 1

  • два типа тебе решила
    answer img
  • Добавить свой ответ

Войти через Google

или

Забыли пароль?

У меня нет аккаунта, я хочу Зарегистрироваться

How much to ban the user?
1 hour 1 day 100 years