• решите по геометрии пж нужно срочно!!!!!!!!!!!!!!!!!!!!!!!!
    Решите прямоугольный треугольник :
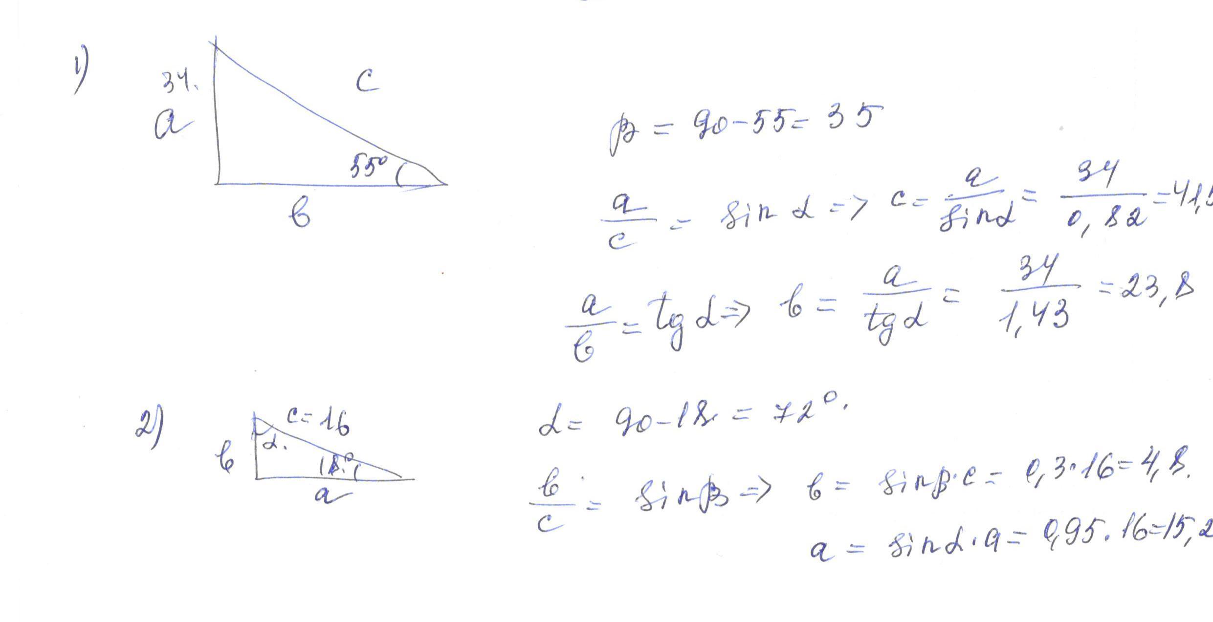
    1)по катету и острому углу :а=34см, альфа=55°
    2)по гипотенузе и острому углу :с = 16 см,Бетта =18°

Ответы 1

  • Решение в приложении
    answer img
  • Добавить свой ответ

Еще вопросы

Войти через Google

или

Забыли пароль?

У меня нет аккаунта, я хочу Зарегистрироваться

How much to ban the user?
1 hour 1 day 100 years