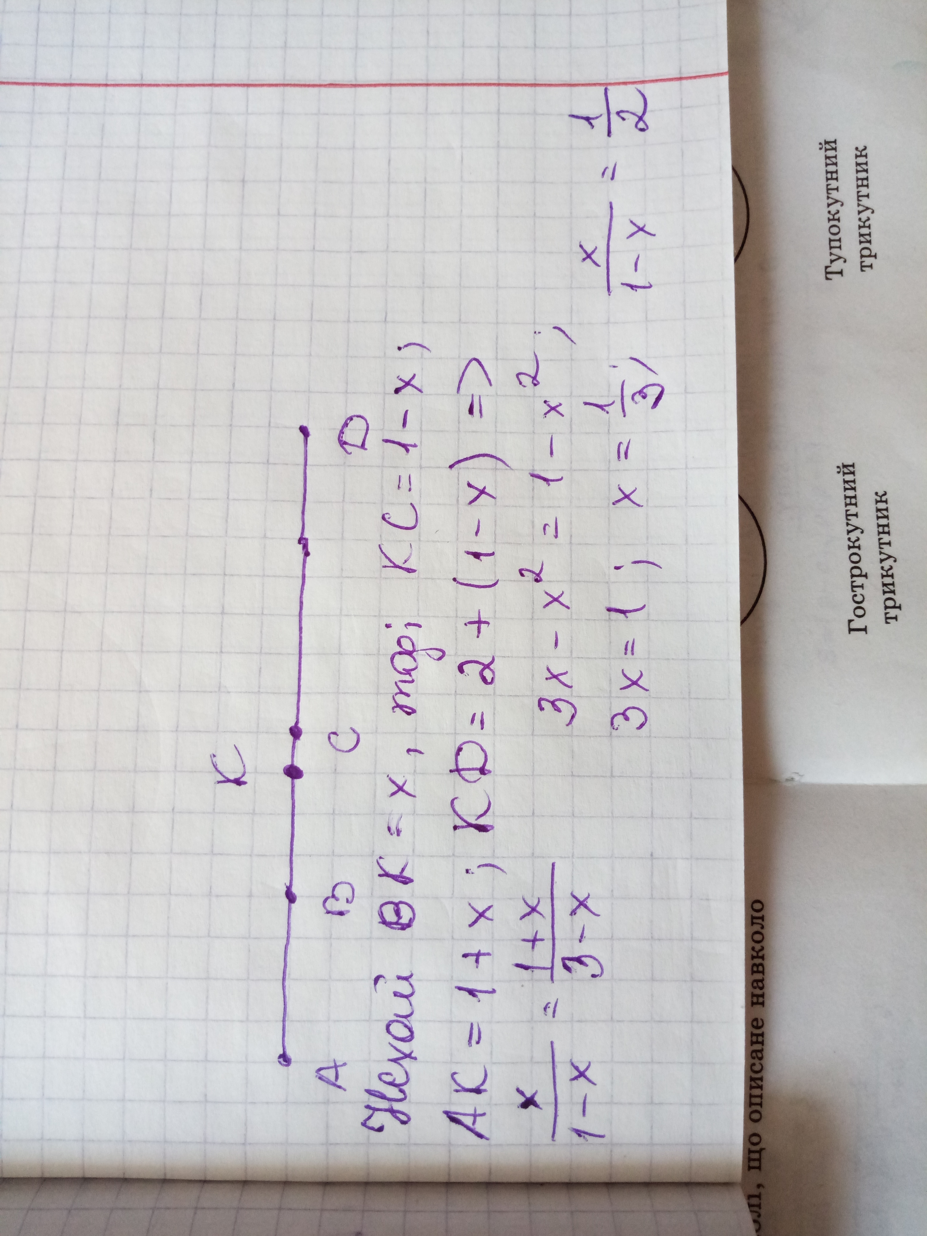
• точки A,B,C,D лежат в указанном порядке на прямой и AB=BC=1,CD=2.Точка K расположена на луче BC и делит отрезки BC и AD в одном и том же отношении: BK:KC=AK:KD. Найдите это отношение.
    Если можно пожалуйста с рисунком. Даю 20 баллов!

Ответы 1

  • Точка К знаходиться ближче до В
    answer img
  • Добавить свой ответ

Еще вопросы

Войти через Google

или

Забыли пароль?

У меня нет аккаунта, я хочу Зарегистрироваться

How much to ban the user?
1 hour 1 day 100 years