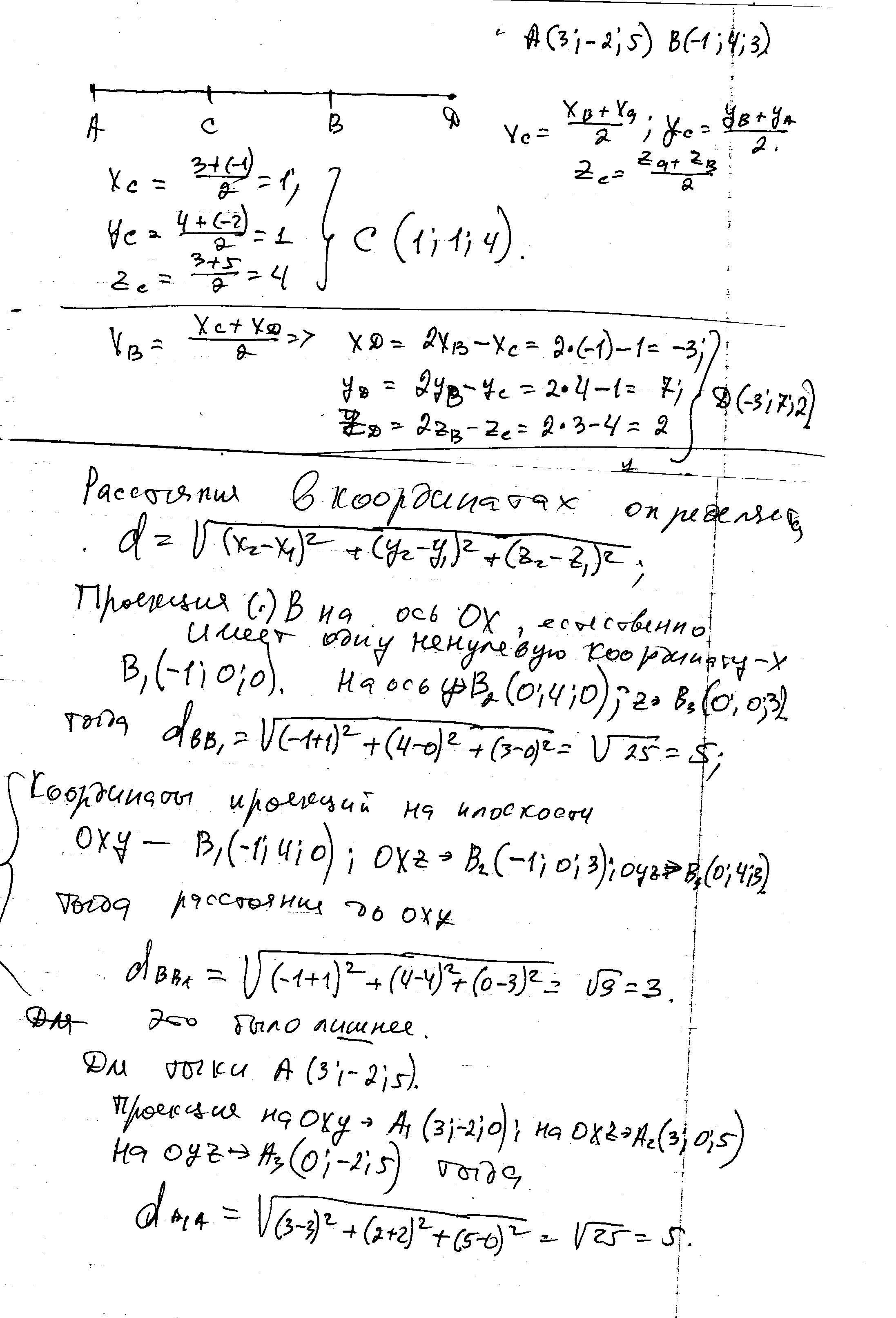
• Даны точки A(3;-2;5) и B(-1;4;3)
    а)Найдите координаты точки С- середины отрезка АВ.
    б) Найдите координаты точки D, если отрезок AD делится точками B и C на три равные части.
    в) Сравните расстояния от точки B до оси абсцисс и от точки A до плоскости Oxy.

Ответы 1

  • решение в скане................
    answer img
  • Добавить свой ответ

Еще вопросы

Войти через Google

или

Забыли пароль?

У меня нет аккаунта, я хочу Зарегистрироваться

How much to ban the user?
1 hour 1 day 100 years