• решите задачу срочно!!!!
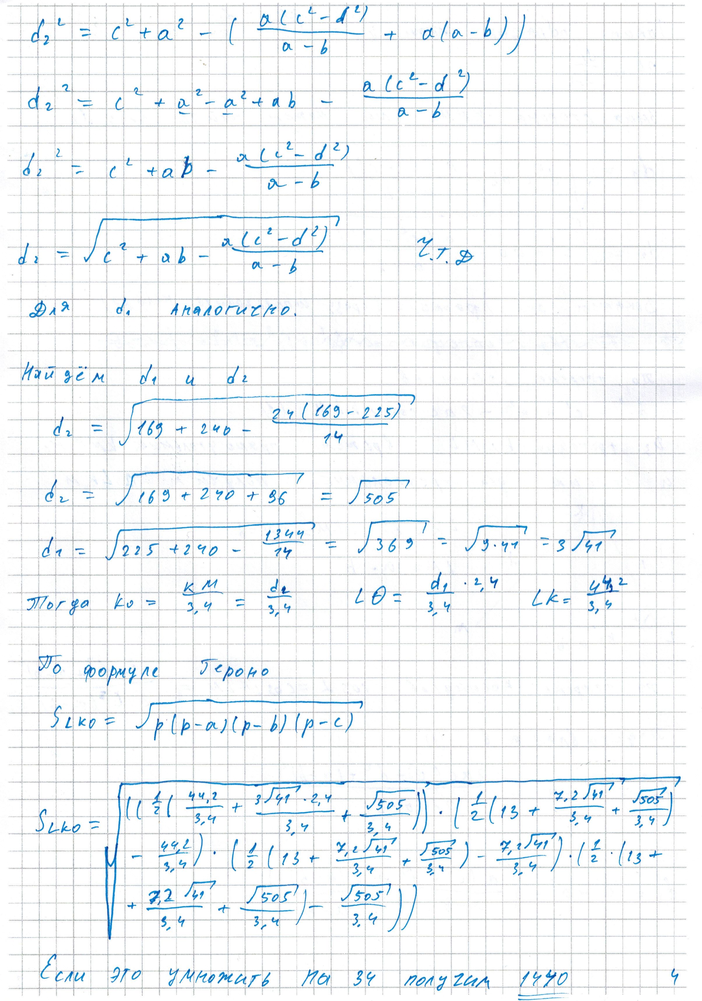
    Дан выпуклый четырехугольник KLMN, O – точка пересечения его диагоналей. Найдите площадь S треугольника KOL, если площади треугольников KOL и MON равны, а KL=13, LM=10, MN=15, KN=24. В ответе запишите значение выражения 34S.

Ответы 1

  • Добрый день! Я хотел бы сразу поблагодарить вас за столь интересную задачу) Не знаю откуда вы её взяли, но она знатно заставила попотеть. Преступим к решению.

    Ответ: 1440

    Если не понятны рисунки, то я прикрепил граф. рисунок сделанный в чертёжнике.

    *** Подскажите, если не секрет, откуда эта задача

    answer img
    answer img
    answer img
    answer img
    answer img
    • Автор:

      abbyehla
    • 2 года назад
    • 8
  • Добавить свой ответ

Войти через Google

или

Забыли пароль?

У меня нет аккаунта, я хочу Зарегистрироваться

How much to ban the user?
1 hour 1 day 100 years