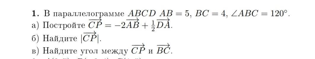
• В параллелограмме ABCD AB=5,BC=4, уголABC=120. У меня не получается найти угол прошу помощи. Пожалуйста ​

    question img

Ответы 1

  • Ответ:

    120=aBc. 5= ab. 4= BC.

    Объяснение:

    على حساب المكان و الزمان بشكل أساسي ربما بشكل أساسي ربما بشكل أساسي ربما بشكل أساسي ربما بشكل أساسي ربما بشكل أساسي ربما بشكل أساسي ربما بشكل أساسي ربما بشكل أساسي ربما بشكل أساسي ربما بشكل أساسي ربما بشكل أساسي

    • Автор:

      drewcyf9
    • 3 года назад
    • 8
  • Добавить свой ответ

Войти через Google

или

Забыли пароль?

У меня нет аккаунта, я хочу Зарегистрироваться

How much to ban the user?
1 hour 1 day 100 years