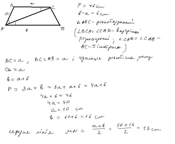
• діагональ рівнобічної трапеції є бісектрисою її гострого кута. знайдіть середню лiнiю трапеції, якщо рiзниця її основ дорівнює 6 см, а периметр 46 см​

Ответы 1

  • Відповідь:

    Пояснення:

    answer img
    • Автор:

      gianadkjb
    • 3 года назад
    • 6
  • Добавить свой ответ

Еще вопросы

Войти через Google

или

Забыли пароль?

У меня нет аккаунта, я хочу Зарегистрироваться

How much to ban the user?
1 hour 1 day 100 years