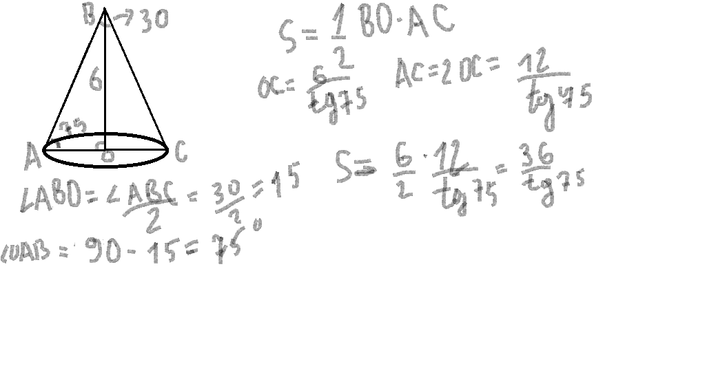
• высота конуса равна 6 см, угол при вершине осевого сечения равен 90 градусов. найдите площадь сечения, проходящего через 2 образующие ,угол между которыми равен 30 градусов и площадь боковой поверхности. Пожалуйста,очень срочно и  решение с рисунком.

Ответы 1

  • Как то так  только там тангес75 нужно посчитать и все, а решается примерно так)
    answer img
  • Добавить свой ответ

Еще вопросы

Войти через Google

или

Забыли пароль?

У меня нет аккаунта, я хочу Зарегистрироваться

How much to ban the user?
1 hour 1 day 100 years