• В цилиндрическую мензурку диаметром 2,5 см.,наполненную водой до некоторого уровня,опускают 4 равных металлических шарика диаметром 1 см.На сколько изменится уровень воды в мензурке?

Ответы 1

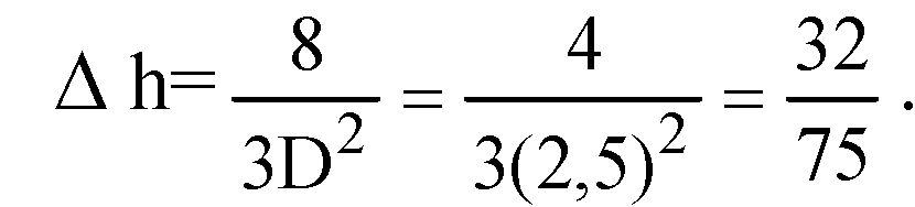
  • Вот) надеюсь поможет;)
    answer img
    answer img
    answer img
    answer img
    answer img
  • Добавить свой ответ

Войти через Google

или

Забыли пароль?

У меня нет аккаунта, я хочу Зарегистрироваться

How much to ban the user?
1 hour 1 day 100 years