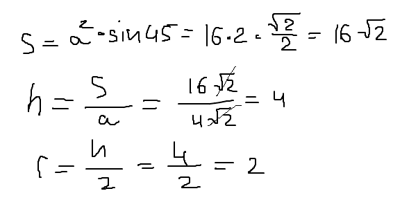
• сторона ромба равна 4√2 , а острый угол равен 45 градусов. Найдите радиус вписанной окружности

Ответы 1

  • ...........................................
    answer img
    answer img
  • Добавить свой ответ

Войти через Google

или

Забыли пароль?

У меня нет аккаунта, я хочу Зарегистрироваться

How much to ban the user?
1 hour 1 day 100 years