• Здравствуйте) Помогите с геометрией!!! Срочно надо!!! Буду очень благодарна...
    __________________________________________________________________________
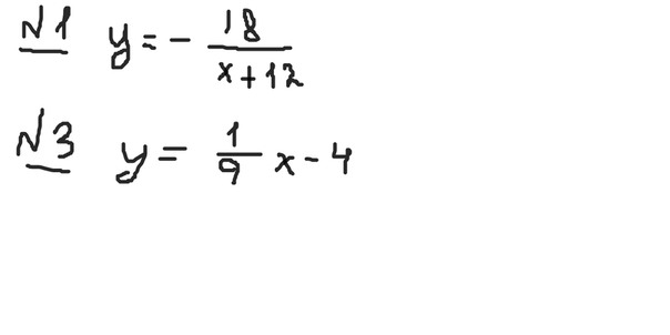
    №1-Функция задана формулой(формула на рисунке во вложении)...Найти значение функции соответствующее значению аргумента равному -8.
    №2-Функция задана формулой у=6х-14. определите значение у, если х= -4
    №3- Найдите координаты точки пересечения графика функции(функция на изображении во вложении) с осью абсцисс.
    №4-Через какую точку проходит график функции у= -2х+6
    №5-Найдите координаты точки пересечения графиков функций у=16х-63 и у= -2х+9
    №6- Найдите значение выражения -2а³+5в² при а=2. в= -3

    question img

Ответы 1

  • .......................................................
    answer img
    • Автор:

      gusn2ag
    • 6 лет назад
    • 0
  • Добавить свой ответ

Войти через Google

или

Забыли пароль?

У меня нет аккаунта, я хочу Зарегистрироваться

How much to ban the user?
1 hour 1 day 100 years